COLUMN

NV(振動・騒音)解析

2022/11/30 NV事業

ASQ(体積加速度の同定)を用いた伝達経路解析について(実験検証編)

前回はASQ(体積加速度の同定)について、代表的な2つの手法を紹介しました。
前回の記事:ASQ(体積加速度の同定)について(理論式編)

今回は弊社にて、シュレッダーを題材にパネル法を用いたASQの結果から同定した体積加速度を用いて伝達経路解析を行ったので紹介します。

<解析の流れ>
①シュレッダーの周波数測定・升の大きさ決定
②パネル法を用いたASQ 
③音響加振&伝達関数計算
④伝達経路解析

①シュレッダーの周波数測定・升の大きさ決定
【測定方法】ターゲット位置(シュレッダーの左側側面から1m離れた位置)にマイクロフォンを設置し、シュレッダー稼働時の音圧レベルを測定

NV28_0

【測定結果】シュレッダーの周波数:477Hz、1300Hz

NV28_01

【波長から升の大きさ決定】周波数測定結果より、波長の短い1300Hzにて波長を計算する
摂氏温度を15度と仮定すると、
音速(m/s)/周波数(Hz)=波長(m) であるため、
340(m/s)/1300(Hz)=0.26≒0.3(m)

1升の一辺の大きさ=波長を3等分した大きさにする必要があるので、
0.3(m)/3=0.1(m)

②パネル法を用いたASQ 
シュレッダーの左側側面を0.1mごとに区切り、加速度センサーを貼り付け、シュレッダー稼働時の振動を測定

NV28_1
NV28_2

測定した振動データ(v)に区切った1升分の面積(S)をかけて、体積加速度(Q)をそれぞれ計算

NV28_3

③音響加振&伝達関数計算
【音響加振方法】②で区切った升の付近にマイクロフォンを設置し、ターゲット位置(シュレッダーの左側側面から1m離れた位置)から体積加速度計を用いた音響加振を実施

NV28_4

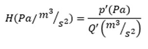
【伝達関数計算】ターゲット位置の体積加速度(Q’)と各升付近の音圧レベル(p’)から、伝達関数(H)をそれぞれ計算

NV28_5

④伝達経路解析
各升の名称を以下のように指示し、①で測定したピーク周波数に対して、②③の結果を用いてTPA(伝達経路解析)を実施

NV28_6

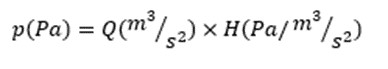
➡実稼働時に各升から発生している音圧レベル(p)を求める

NV28_61

【解析結果】
・477Hz  P:1~P:5,P:32,P33において寄与率が大きい

NV28_7

・1300Hz  P:1~P:4において寄与率が大きい

NV28_8

➡各周波数(477Hz、1300Hz)に対して寄与率が大きい部位を特定することができました。

弊社では様々な環境での振動や音の測定・解析を受け付けておりますのでお気軽にご相談ください。

Category

モビテックへのお問い合わせはこちらから

製品設計、3Dスキャナ、3Dスキャナ販売、CAD販売、
CADカスタマイズ、NVに関するお問合せはこちら

CONTACT

contact

Copyright © 設計・評価・解析に至るまで総合的に手掛ける自動車開発専門のエンジニアリング企業 株式会社モビテック All Rights Reserved.