COLUMN

NV(振動・騒音)解析

2022/10/31 NV事業

ASQ(体積加速度の同定)について(理論式編)

今回はASQ(体積加速度の同定)の手法について紹介します。

音は、要因となる振動の伝わる経路により、「空気伝播音」と「構造伝播音」の2種類に区別されます。
「空気伝播音」とは物体の振動が空気を媒体として伝播する音の事です。

一方で「構造伝播音」とは物体の振動が、伝播した先の物体を振動させ、音となって現れるものです。

NV27_1

これらの音はそれぞれ以下の式で導出することができます。

構造伝播音(Pa)=物体を押す力(N)×伝達関数(Pa/N)
空気伝播音(Pa)=空気を押す力 (m3/s2)×伝達関数(Pa/m3/s2)

空気伝播音を求める際には音源の体積加速度(空気を押す力)が必要であり、この体積加速度を同定する手法をASQ(Airborne Source Quantification)と呼びます。

ASQの代表的な手法として「逆マトリクス法」「パネル法」があるので、それぞれ紹介します。
各手法の使い分けについては以下のようになります。
逆マトリクス法:音源から出ている体積加速度を確認したい場合
パネル法:音源の各面の体積加速度を確認したい場合

<逆マトリクス法>
①実稼働時、及び②体積加速度計を使用した音響加振時の2つの測定データを用いて体積加速度を同定します。

①音源付近に測定点(位置A)を設け、実稼働時の音を測定
マイクロフォンの音圧レベル:p[Pa]
音源から発生している音の体積加速度:Q[m3/s2]・・・同定する値

NV27_2

②音源位置にマイクロフォンを設置し、位置Aから音響加振した時の音を測定
体積加速度計から出る音の体積加速度:Q’ [m3/s2]
音源位置での音圧レベル:p’ [Pa]

NV27_3

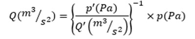
①②の測定結果から、実稼働時に音源から発生している音の体積加速度Qは逆マトリクス法を用いて以下の式で表されます。

NV27_4

<パネル法>
音源の表面を四角い升状に分割し、それぞれ加速度センサーを設置(升の面積:S[m2])
その状態で、実稼働時の振動を測定
※升のサイズ(加速度センサーの取り付け間隔)を決めるにあたり、加速度センサーの位置が振動モードの節になることを回避するため、事前に実稼働時の周波数を測定し、そこから計算した波長を最低3分割した位置にて測定を行っていきます。

NV27_5

各升の加速度センサーの振動レベル:v[m/s2]

NV27_6

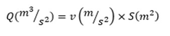
測定結果より、実稼働時に音源表面の各升から発せられる発生している音の体積加速度Qはパネル法を用いて以下の式で表されます。

NV27_7

次回は、実際に弊社でパネル法を用いたASQの結果から同定した体積加速度を用いて伝達経路解析を行いましたので、その内容について紹介します。
弊社では様々な環境での振動や音の測定・解析を受け付けておりますのでお気軽にご相談ください。

Category

モビテックへのお問い合わせはこちらから

製品設計、3Dスキャナ、3Dスキャナ販売、CAD販売、
CADカスタマイズ、NVに関するお問合せはこちら

CONTACT

contact

Copyright © 設計・評価・解析に至るまで総合的に手掛ける自動車開発専門のエンジニアリング企業 株式会社モビテック All Rights Reserved.