2022/06/30 NV事業
今回は音の距離減衰について紹介します。
距離減衰とは、音源から距離が離れるほど音が小さくなる現象のことです。
音源が点音源とみなせる場合、音のエネルギーは球面状に広がっていきます。このような波を球面波と呼びます。
球面波の場合、音源からr[m]離れた位置での音のパワーと強さの関係は以下の式で表され、音の強さは距離の2乗に反比例する形で減衰します。
騒音は、測定点によって音の強さが大きく変わるため、測定するにあたり距離減衰量を把握しておくことが重要です。
次に、上記の式を用いて、音源からの距離が異なる2つの測定点の間における音の強さの減衰量を求めていきます。
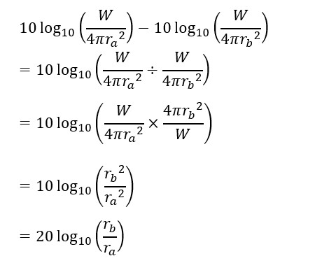
音源の音のエネルギーをW[W]とし、2つの測定点をそれぞれ音源からra[m]、rb[m](ra
2点間の減衰量は、この差になるため、
と表せます。これをdB換算すると、
となり、2点間の距離減衰量はそれぞれの音源からの距離を用いて表すことができます。
次回は、実際に弊社で距離減衰量を測定し、計算値と比較した検証事例を紹介します。
弊社では様々な環境での振動や音の測定・解析を受け付けておりますのでお気軽にご相談ください。